

CAN(控制器局域网)是一种与汽车和工业应用高度相关的通信技术。随着附加功能被集成到这些应用中,对更复杂网络和更快速数据速率的需求正在增加。这两种需求都与总线上信号振铃的增加效应相冲突,这突出说明了CAN介质访问传统技术的能力有限。CAN信号增强能力(SIC)的引入可能改变这种状况。
CAN于20世纪90年代推出,专用于汽车行业。此后,该技术不断发展壮大,以支持更复杂的汽车网络和越来越多的节点。CAN FD(灵活的数据速率)是针对CAN网络的高带宽通信需求而开发的。
CAN FD是经典CAN协议的扩展,利用高速(HS)CAN收发器将数据传输速率提高到5 Mbit/s。但是由于信号振铃的影响,在实际拓扑中,其可实现的数据速率不会超过2 Mbit/s。CAN SIC收发器(如恩智浦TJA146x)主动改善信号,因此受振铃的限制较小,在更复杂的拓扑中可实现更高的比特率,对现有的CAN FD网络形成补充。
| CAN收发器 | 最大可实现数据速率 |
|---|---|
| 经典CAN | 高达1 Mbit/s |
| CAN FD | 高达5 Mbit/s |
| CAN SIC | 高达8 Mbit/s |
在之前的一篇博文中 ,我们讨论了CAN SIC给汽车行业带来的好处,但这些好处不仅限于汽车行业。
CAN SIC在汽车业的成功应用使其在工业应用中也得到了广泛普及。虽然IP通信越来越受到重视,但CAN总线技术具有稳健、可靠、成本低廉等特点,仍然是工业领域的一项关键技术。
CAN网络已经存在于几大工业领域,包括嵌入式机器控制、移动机器人、医疗保健、电梯工业,以及用于海洋地面,甚至外太空。采用CAN SIC收发器,可以大大提高CAN FD网络在这些行业的性能。这种改进至关重要,因为一些工业应用需要在复杂的拓扑中跨越很长的距离才能连接其网络。如果无人值守,则可能会导致信号振铃,从而更难以达到所需的带宽,也无法创建在布线和成本方面有效的网络设计。
为了说明CAN SIC的优势,我们研究了移动机器人的案例。这种类型的应用可以在菊花链网络中实现,通常使用有限的2 Mbit/s数据速率以避免信号振铃的限制,并可靠地运行网络。但还有一种替代拓扑具有多种优势。
带有中央端接的多桩拓扑涉及优化电缆长度,从而降低主网络和潜在冗余网络的重量和成本。它还可以降低通信和丢失终端的风险,并通过将终端迁移到中央ECU来提供标准化的电机ECU(电子控制单元)。尽管有这些优势,多桩拓扑有个主要缺点,即线桩增加了信号振铃效应并因此限制了使用标准CAN FD收发器可以达到的数据速率。
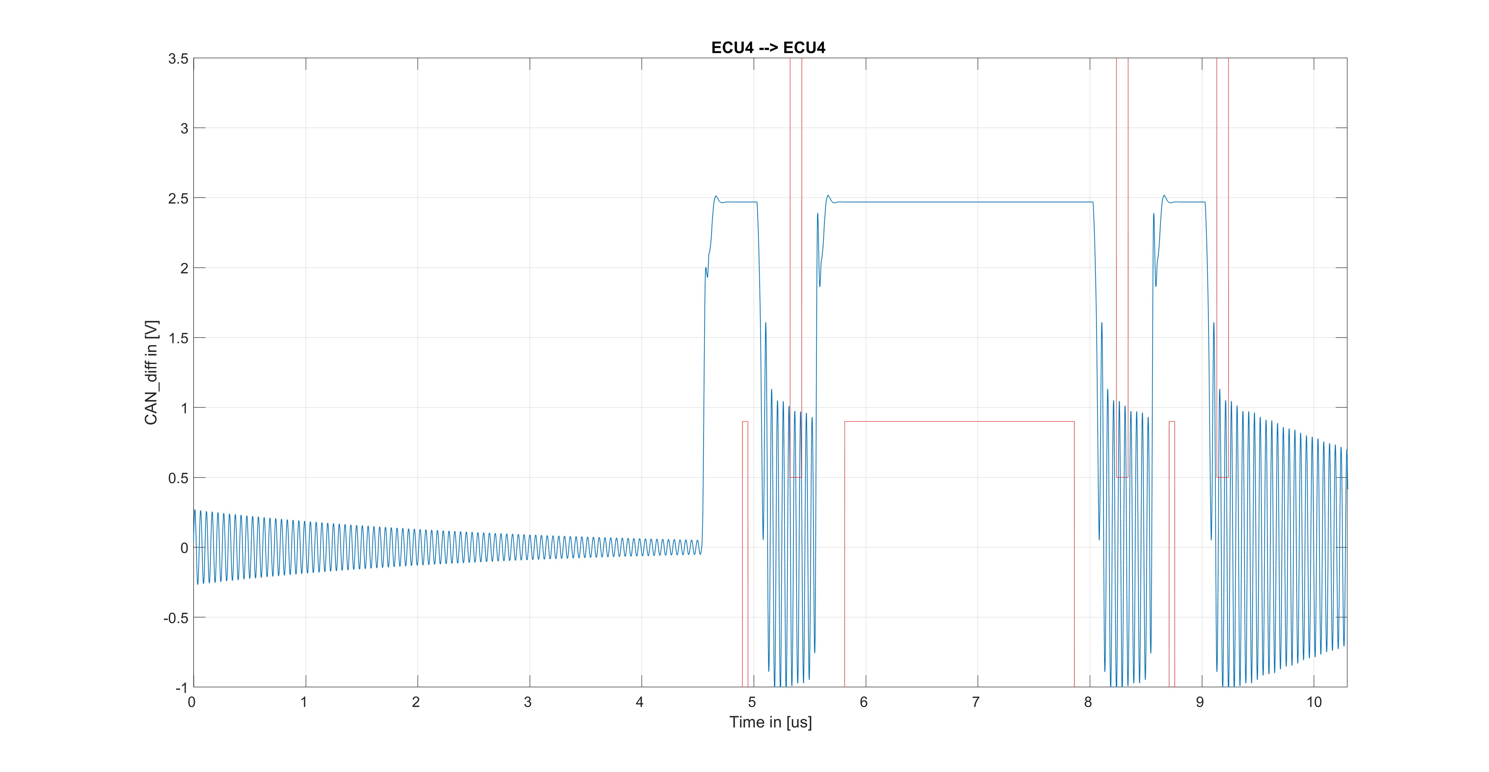
如果主动改善信号,CAN SIC可以避开振铃效应。图2中的仿真结果说明在多桩拓扑中,CAN SIC与CAN FD相比如何实现可靠的通信,从而允许数据速率超过2 Mbit/s并创建更高效且更安全的拓扑设计。没有CAN SIC,更有效的拓扑结构就无法运行可靠的2Mbit/s CAN FD通信。
如图1所示,在具有中央端接的同一多桩拓扑中,模拟2 Mbit/s的CAN SIC(图2)和CAN FD(图3)性能。红色方框表示信号的禁区,用于可靠通信;红色方框表示CAN SIC更紧密,因为改善了对称定时性能。通过实施CAN SIC,CAN信号得到了改善,为将可达数据速率提高到5 Mbit/s创造了空间。
了解我们的 CAN产品组合 ,并深入了解我们的CAN SIC产品。
对于长网络和CAN SIC,还需要进行一些评估。在1992年成立的非营利性用户和制造商组织CAN in Automation(CiA)中,海洋业正在寻找长度约500米的CAN FD网络。还有其他具有长网络需求的应用领域,包括起重机、土方机械和电梯,不胜枚举。这些领域的一个关键问题是抑制网络线路上的振铃,同时防止压降导致比特错误。
CiA常务董事Holger Zeltwanger解释说:“基建、采矿机械、海事电子和机车车辆等行业有时在采用新通信技术方面比较保守。” “我们正与感兴趣的CiA成员合作,评估恩智浦的TJA146x CAN SIC收发器在具有长端接线桩和非长端接线桩的长网络中使用的情况。这种评估将提高非汽车应用对CAN SIC的接受程度,因为功能安全和网络安全需求的增加继续推动着从经典CAN到CAN FD的升级。”
Teun Hulman是车载网络产品线(IVN)的产品营销经理,负责CAN SIC产品组合的全球运营。在加入营销团队之前,他在车载网络研发部工作,负责开发CAN收发器。Teun拥有电子工程学硕士学位。
Holger Zeltwanger于1992年发起了CAN in Automation(CiA)用户和制造商联合组织。他从一开始就是CiA的常务董事,也是多个车载网络和网络应用标准化组织的积极参与者。