8位微控制器,带双时钟80C51内核和带256字节数据RAM的4 kB/8 kB 3 V闪存

  • 本页面包含有关样品阶段产品的信息。此处的规格和信息如有更改,恕不另行通知。如需了解其他信息,请联系支持人员或您的销售代表。

查看产品图片

产品详情

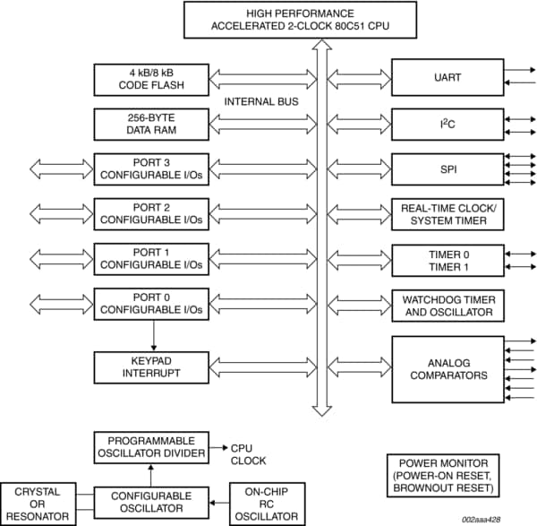
框图

Block diagram: P89LPC930FDH, P89LPC931FDH

特征

  • 当以18 MHz的频率运行时,高性能80C51 CPU为除乘法和除法外的所有指令提供111-222 ns的指令周期时间。以相同的时钟频率运行时,标准80C51的性能将慢6倍。使用更低的时钟频率即可获得相同的性能,从而节省电能并降低EMI。
  • VDD工作范围为2.4 V至3.6 V。I/O引脚具有5 V耐压(可上拉或驱动到5.5 V)。
  • 具有1 kB 扇区和64字节页大小的4 kB/8 kB闪存代码存储器。
  • 允许字节擦除的代码存储器将用于数据存储。
  • 闪存程序操作在2 ms内完成。
  • 闪存擦除操作在2 ms内完成。
  • 256字节RAM数据存储器。
  • 2个16位计数/定时器。每个定时器均可配置为在定时器溢出时切换端口输出或者配置为PWM输出。
  • 也可用作系统定时器的实时时钟。
  • 2个具有可选输入和基准源的模拟比较器。
  • 带小数波特率生成器且具有中断检测、帧错误检测、自动地址检测和通用中断功能的增强型UART。
  • 400 kHz字节宽I²C总线通信端口。
  • SPI通信端口。
  • 8个键盘中断输入,外加2个额外的外部中断输入。
  • 4个中断优先等级。
  • 带独立片内振荡器的看门狗定时器,不需要外部元件。可从8个值中选择看门狗超时时间。
  • 有效低电平复位。片内上电复位允许在没有外部复位元件的情况下工作。复位计数器和复位干扰抑制电路能够防止可疑的和不完成的复位。软件复位功能也可用。
  • 低电压复位(欠压检测),以便在电源故障时正常关闭系统。可选择配置为中断。
  • 振荡器故障检测。看门狗定时器具有独立的全片内振荡器,可以执行振荡器故障检测功能。
  • 具有频率范围的可配置片内振荡器和RC振荡器选项(通过用户编程的闪存配置位进行选择)。RC振荡器选项(出厂校准为+-1%)允许在没有外部振荡器元件的情况下工作。振荡器选项支持的频率范围为20 kHz至最大18 MHz。可以选择RC振荡器选项并微调。
  • 可编程端口输出配置选项:
    • 准双向
    • 开漏
    • 推挽
    • 仅输入
  • 端口“输入模式匹配”检测。当引脚的值匹配或不匹配可编程模式时,端口0可能生成中断。
  • 第二个数据指针。
  • 施密特触发器端口输入。
  • 所有端口引脚上的LED驱动能力(20 mA)。100 mA的最大组合I/O电流。
  • 用以降低EMI的控制转换速率端口输出。输出的最短斜坡时间约为10 ns。
  • 最少23个I/O引脚(28引脚封装)。多达26个使用片内振荡器的I/O引脚和复位选项。
  • 使用片内振荡器和片内复位选项时,只需连接电源并接地即可操作P89LPC930/931。
  • 串行闪存编程允许在电路生成编码。闪存安全位可防止读取敏感的编程。
  • 闪存代码存储器的在应用编程。这允许更改正在运行的应用中的代码。
  • 空闲和两个不同的掉电节电模式。改进从掉电模式的唤醒(低中断输入开始执行)。掉电电流通常为1 uA(禁用了电压比较器的总掉电)。
  • 28引脚TSSOP封装。
  • 模拟支持。

购买/参数










































































































文档

快速参考恩智浦 文档类别

7 文件

紧凑列表

勘误表 (2)
封装信息 (1)
应用笔记 (2)
数据手册 (1)
用户指南 (1)

设计资源

设计文件

快速参考恩智浦 设计文件类型.

1 设计文件

支持

您需要什么帮助?